This is an Italian translation of What We Owe the Future, Chapter 1
Link all’originale: What We Owe The Future, Chapter 1.pdf
What We Owe The Future, di William MacAskill, Capitolo Primo
I miliardi silenziosi
Le persone future contano. Potrebbero essercene molte. Possiamo rendere migliori le loro vite.
Questo è in sintesi il ragionamento a favore del lungoterminismo. Le premesse sono semplici e credo non particolarmente controverse. Eppure prenderle sul serio ammonta a una rivoluzione morale dalle implicazioni di ampio respiro per i pensieri e per le azioni di attivisti, ricercatori, politici e in ultimo per noi tutti.
Le persone future contano, ma noi le contiamo raramente. Non possono votare, fare lobbying o candidarsi a cariche pubbliche, quindi i politici sono scarsamente incentivati a pensare a loro. Non possono contrattare o commerciare con noi, quindi hanno scarsa rappresentanza nei mercati. E non possono far sentire le loro opinioni direttamente: non possono twittare, scrivere articoli sui giornali o marciare per le strade. Sono totalmente prive di diritti.
I movimenti sociali passati, come il movimento per i diritti civili degli anni sessanta negli Stati Uniti e il movimento per il suffragio femminile, si sono spesso posti l’obiettivo di dare maggiore riconoscimento e influenza a membri della società che ne erano privi. Io considero il lungoterminismo come un'estensione di questi ideali. Anche se non possiamo dare vero potere politico alle persone future, possiamo almeno prenderle in considerazione. Abbandonando la tirannia del presente sul futuro, possiamo agire come fiduciari, contribuendo a creare un mondo fiorente per le generazioni a venire. Questo è della massima importanza. Lascia che ti spieghi perché.
Le persone future contano
L'idea che le persone future contino è sensata. Le persone future, dopo tutto, sono persone; esisteranno, e proprio come tutti noi avranno speranze e gioie, dolori e rimpianti. È solo che non esistono per ora.
Per renderci conto di quanto ciò sia intuitivo, supponiamo che durante un’escursione mi cada una bottiglia di vetro sul sentiero e che questa si frantumi[1]. E supponiamo che se non ne ripulissi i cocci, più tardi una bambina ci si taglierebbe seriamente. Nel decidere se ripulire i cocci o meno, è importante quando la bambina si taglierà? Dovrebbe importarmi se sia tra una settimana, un decennio o un secolo? No. Un danno è un danno, indipendentemente da quando si verifica.
Supponiamo invece che una pestilenza infetti una città e uccida migliaia di persone. È in tuo potere fermarla. Prima di agire, hai bisogno di sapere quando si verificherà l'epidemia? È importante, di per sé? No. La posta in gioco, di dolore e morte, merita attenzione a prescindere.
Lo stesso principio vale in un contesto positivo. Pensa a qualcosa che ami nella tua vita; forse è la musica o lo sport. Immagina ora un’altra persona che nutre un amore altrettanto intenso per qualcosa nella sua vita. La sua gioia viene forse invalidata se vive nel futuro? Immagina di poterle regalare i biglietti per vedere la sua band preferita o la squadra di calcio per cui tifa. Per decidere se regalarglieli, hai bisogno di sapere la data in cui verranno consegnati?
Immagina cosa penserebbero le persone del futuro, vedendoci discutere di queste questioni quando pensano al passato. Vedrebbero alcuni di noi sostenere che le persone future non contano. Ma loro si guardano le mani; si guardano intorno vedendo le loro vite. Che cosa hanno di diverso? Cosa le rende meno reali? Quale opinione sembrerà più lucida e più ovvia? Quale più miope e campanilista?
La distanza nel tempo è come la distanza nello spazio. Le persone contano anche quando vivono a migliaia di chilometri di distanza. Allo stesso modo, contano anche se vivono a migliaia di anni da ora. In entrambi i casi è facile scambiare la distanza per irrealtà, trattare i confini di ciò che vediamo come i confini del mondo. Ma come il mondo non si ferma alla soglia della nostra porta di casa o ai confini del nostro paese, non si ferma nemmeno alla nostra generazione o a quella successiva.
Queste sono idee che rimandano al buon senso. Un famoso proverbio dice: “Una società diventa grande quando gli anziani piantano alberi sotto alla cui ombra non si siederanno mai”[2]. Quando smaltiamo le scorie radioattive, non ci diciamo: "Cosa importa se queste scorie avveleneranno le persone tra qualche secolo?". In modo simile pochi di coloro che tra di noi si preoccupano del cambiamento climatico o dell'inquinamento lo fanno solo per il bene delle persone che vivono oggi. Costruiamo musei, parchi e ponti che speriamo perdurino per generazioni; investiamo in scuole e progetti scientifici a lungo termine; conserviamo dipinti, tradizioni, lingue; proteggiamo luoghi di bellezza. In molti casi, non facciamo nette distinzioni tra il nostro riguardo per il presente e per il futuro; entrambi gli aspetti sono in gioco.
Il riguardo per i posteri è un senso comune a diverse tradizioni intellettuali. Il Gayanashagowa, la costituzione orale tramandata da secoli dalla Confederazione irochese, contiene una dichiarazione particolarmente chiara. Esorta i Signori della Confederazione a “tenere sempre presente non solo le generazioni attuali ma anche le future”[3]. Oren Lyons, un custode della fede per le nazioni Onondaga e Seneca della Confederazione irochese, esprime questo principio in termini di una “settima generazione”, dicendo: “Noi ... facciamo in modo che ogni decisione che prendiamo tenga a riguardo il benessere e la prosperità della settima generazione a venire. . . . Consideriamo: per la settima generazione questo sarà un beneficio?”[4].
Anche riconoscendo che le persone future contano rimane la questione di quanto peso dare ai loro interessi. Potrebbero esserci motivi di avere più riguardo per le persone che vivono oggi?
A mio avviso, sono due le ragioni che spiccano. La prima è il fatto che siamo parziali. Spesso abbiamo relazioni privilegiate e più forti con persone nel presente, familiari, amici e concittadini, che con persone nel futuro. Sta alle regole del buon senso che tu possa e debba dare più importanza alle persone che più ti sono vicine.
La seconda ragione è la reciprocità. A meno che tu non viva da eremita nella natura selvaggia, c’è una quantità enorme di persone - insegnanti, negozianti, ingegneri, nonché tutti i contribuenti alle tasse - le cui azioni ti beneficiano direttamente e ti hanno beneficiato per tutta la vita. Siamo soliti pensare che il bene ricevuto sia un motivo per ripagarlo. Le persone future non ti beneficiano come quelle della tua generazione[5].
Le relazioni privilegiate e la reciprocità sono importanti, ma non influiscono sul nocciolo del mio ragionamento. Non sto sostenendo che gli interessi delle persone presenti e future devono sempre e comunque avere lo stesso peso, ma che le persone future contano in misura rilevante. Così come curarsi maggiormente dei nostri figli non significa ignorare gli interessi degli estranei, prestare più attenzione ai nostri contemporanei non significa ignorare i nostri discendenti.
Per esempio, supponiamo che un giorno dovessimo scoprire Atlantide, una vasta civiltà sul fondo marino. Ci renderemmo conto che molte delle nostre azioni hanno un riscontro su Atlantide: quando scarichiamo rifiuti negli oceani ne avveleniamo i cittadini; quando una nave affonda, la riciclano ricavandone metallo ed altre parti. Non avremmo una relazione privilegiata con gli Atlantidei, né dovremmo ripagarli per i benefici che ci hanno concesso. Ma dovremmo comunque pensare seriamente all'impatto delle nostre azioni su di loro.
Il futuro è come Atlantide. Anch'esso è un paese vasto e ignoto[6]; e che questo paese prosperi o vacilli dipende, in misura rilevante, dalle nostre azioni odierne.
Il futuro è vasto
L’idea che le persone future contano fa parte del buon senso. Così come l’idea che dal punto di vista morale i numeri sono importanti. Se tu potessi salvare una persona oppure dieci da un incendio, a parità di altri fattori dovresti impegnarti a salvarne dieci. Se tu potessi curare cento persone oppure mille da una malattia, l’obiettivo dovrebbe essere curarne mille. Questo è un dettaglio importante, perché il numero di persone future potrebbe essere enorme.
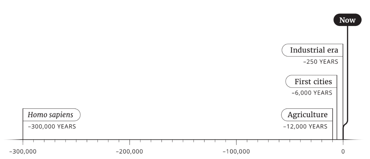
Per constatarlo, consideriamo la storia dell'umanità in termini ampi. Il genere Homo esiste sulla Terra da più di 2,5 milioni di anni[7]. La nostra specie, Homo sapiens, si è evoluta circa trecentomila anni fa. L’agricoltura è iniziata solo dodicimila anni fa, le prime città si sono formate solo seimila anni fa, l'età industriale è iniziata circa 250 anni fa e tutti i cambiamenti che si sono susseguiti da allora - dai carri trainati da cavalli ai viaggi nello spazio, dalle sanguisughe ai trapianti di cuore, dalle calcolatrici meccaniche ai supercomputer - si sono verificati nel corso di sole tre vite umane[8].
Quanto sopravviverà la nostra specie? Ovviamente non lo sappiamo. Possiamo però fare delle stime che sono utili e tengono conto della nostra incertezza, compresa quella sulla possibilità che potremmo essere noi stessi a causare la nostra fine.
Per capire la potenziale entità del futuro, supponiamo che sopravviveremo solo quanto una tipica specie di mammiferi, cioè circa un milione di anni[9]. Supponiamo anche che la nostra popolazione continui ad avere le dimensioni attuali. In questo caso, dovrebbero ancora venire al mondo ottanta mila miliardi di persone (80 x 10^12); le persone che vivono in futuro sarebbero più numerose di noi di un fattore di diecimila a uno.
Naturalmente, dobbiamo prendere in considerazione l'intera gamma di possibilità per il futuro. La durata della specie potrebbe essere molto inferiore di quella di altri mammiferi se causassimo la nostra estinzione. Potrebbe anche essere molto più lunga. Noi, a differenza di altri mammiferi, disponiamo di strumenti sofisticati che ci aiutano ad adattarci ad ambienti diversi; di capacità di ragionamento astratto che ci permettono di formulare piani complessi a lungo termine reagendo a situazioni mai viste; di cultura condivisa che ci permette di agire in gruppi di milioni di persone. Tutto ciò ci aiuta a evitare minacce di estinzione che altri mammiferi non sono in grado di evitare[10].
L’impatto di queste considerazioni sull’aspettativa di vita dell'umanità è asimmetrico. Il futuro della civiltà potrebbe essere molto breve ed estinguersi nel giro di pochi secoli. Ma potrebbe anche essere estremamente lungo. La Terra rimarrà abitabile per centinaia di milioni di anni. Se sopravviveremo così a lungo, con la stessa popolazione per secolo come fino ad ora, allora per ogni persona vivente oggi ci saranno un milione di persone in futuro. E se in definitiva l'umanità si diffonderà per le stelle, la temporale assume una scala letteralmente astronomica. Il Sole continuerà a bruciare per cinque miliardi di anni. Le ultime formazioni stellari convenzionali si verificheranno tra oltre un bilione di anni (10^12) e, grazie a un piccolo ma costante flusso di collisioni tra nane brune, alcune stelle brilleranno ancora tra un trilione di anni (10^18)[11].
La possibilità che la civiltà duri così a lungo dà all'umanità un'enorme aspettativa di esistenza. Una probabilità del 10% di sopravvivere per cinquecento milioni di anni, fino a quando la Terra non sarà più abitabile, ci dà un'aspettativa di esistenza di oltre cinquanta milioni di anni. Una probabilità dell’1% di sopravvivere fino alle ultime formazioni stellari convenzionali ci dà un'aspettativa di vita di oltre dieci miliardi di anni[12].
In definitiva, non dobbiamo preoccuparci solo dell'aspettativa di esistenza dell'umanità, ma anche di quante persone vivranno. Dobbiamo quindi chiederci: quante persone saranno vive in un dato istante nel futuro?
La popolazione futura potrebbe essere molto più piccola o molto più grande di quella attuale. Ma se è minore, lo può essere al massimo di otto miliardi. Se è maggiore, invece, potrebbe essere molto più grande. L'attuale popolazione globale è già più di mille volte più grande di quella dell'epoca dei cacciatori-raccoglitori. Se la densità della popolazione globale raggiungesse quella dei Paesi Bassi - un paese esportatore netto di prodotti agricoli - ci sarebbero settanta miliardi di persone in vita in qualsiasi momento[13]. Questa potrebbe sembrare un'ipotesi fantasiosa, ma una popolazione globale di otto miliardi sarebbe sembrata fantasiosa a un cacciatore-raccoglitore preistorico o a un agricoltore primitivo.
La popolazione potrebbe aumentare nuovamente di molto se un giorno ci volgessimo alle stelle. Il nostro sole produce miliardi di volte più luce quanta ne ricade sulla Terra, ci sono decine di miliardi di altre stelle nella nostra galassia e miliardi di galassie ci sono accessibili[14]. In un futuro lontano, quindi, potrebbero esserci molte più persone di quante ce ne siano oggi.
Ma quante? Stime precise non sono né possibili né necessarie. Il numero è immenso In base a qualsiasi calcolo ragionevole.
Osserviamo il seguente diagramma per rendercene conto. Ciascuna figurina rappresenta dieci miliardi di persone. Finora sono vissute circa cento miliardi di persone; queste persone del passato sono rappresentate da dieci figurine. La generazione attuale è composta da quasi otto miliardi di persone, che arrotonderò a dieci miliardi e raffigurerò con una sola figurina:
Ora raffiguriamo il futuro. Consideriamo solo lo scenario secondo il quale la popolazione rimarrà delle dimensioni attuali e vivremo sulla Terra per cinquecento milioni di anni. Queste sono tutte le persone future:
Rappresentate così sulla pagina, cominciamo a renderci conto di quante vite sono in gioco... ma ho interrotto il diagramma! La versione completa riempirebbe ventimila pagine, saturando questo libro cento volte. Ogni figura rappresenterebbe dieci miliardi di vite e ciascuna di queste vite potrebbe essere fiorente o disgraziata.
Prima ho suggerito che l'umanità di oggi è come un adolescente imprudente: abbiamo la maggior parte della nostra vita davanti e le decisioni che prendiamo oggi a riguardo sono di importanza colossale. In realtà questa analogia è insufficiente. Un adolescente sa approssimativamente quanto tempo aspettarsi di vivere, ma noi non sappiamo l'aspettativa di esistenza dell'umanità. Siamo più simili a un adolescente che, a sua conoscenza, potrebbe accidentalmente causare la propria morte nei prossimi mesi, ma potrebbe anche vivere per mille anni. Se tu ti ritrovassi in una situazione tale, ti concentreresti sulla lunga vita che potrebbe aspettarti o la ignoreresti?
Anche solo la prospettiva del futuro può essere vertiginosa. In generale, pensare "a lungo termine" vuol dire considerare al massimo anni o decenni. Anche assumendo una stima bassa dell'aspettativa di esistenza dell'umanità, sarebbe comportarsi come un adolescente che crede sia sufficiente pensare al domani ma non al dopodomani.
Nonostante possa essere opprimente pensare al futuro, se abbiamo veramente a cuore gli interessi delle generazioni future, se riconosciamo che sono persone reali, capaci di felicità e sofferenza proprio come noi, allora abbiamo il dovere di pensare a come potremmo influire sul mondo in cui vivranno.
Il valore del futuro
Il futuro potrebbe essere molto vasto. Potrebbe anche essere molto positivo, o molto negativo.
Per farci un'idea di quanto potrebbe essere positivo, possiamo guardare ad alcuni dei progressi compiuti dall'umanità negli ultimi secoli. Duecento anni fa la speranza di vita media era inferiore a trenta anni; oggi è di settantatré[15]. All'epoca oltre l'80% del mondo viveva in condizioni di estrema povertà, oggi meno del 10%[16]. Allora, solo il 10% degli adulti sapeva leggere, oggi più dell'85%[17].
Collettivamente abbiamo sia il potere di supportare queste evoluzioni positive sia di dirottarci verso quelle negative, come il drammatico aumento delle emissioni di anidride carbonica e del numero di animali che soffrono negli allevamenti. Possiamo costruire un mondo in cui tutti vivono come le persone più felici dei Paesi più ricchi di oggi, un mondo dove nessuno vive in povertà, a nessuno manca un'adeguata assistenza sanitaria e, per quanto possibile, tutti sono liberi di vivere come vogliono.
Ma potremmo fare ancora meglio, molto meglio. Il meglio che abbiamo visto finora è solo un barlume del possibile. Per rendercene conto, consideriamo la vita di un uomo ricco nella Gran Bretagna del 1700, un uomo con accesso al cibo, all'assistenza sanitaria e ai lussi migliori dell'epoca. Nonostante tutti i suoi vantaggi, un uomo del genere poteva facilmente morire di vaiolo, sifilide o tifo. Se avesse avuto bisogno di un'operazione chirurgica o avesse avuto un mal di denti, il trattamento sarebbe stato straziante e avrebbe avuto un rischio importante di infezione. Se fosse vissuto a Londra, l'aria che avrebbe respirato sarebbe stata diciassette volte più inquinata di oggi[18]. Avrebbe potuto impiegare settimane anche solo per viaggiare all'interno della Gran Bretagna e la maggior parte del globo gli sarebbe stata completamente inaccessibile. Se anche solo avesse immaginato un futuro in cui la maggior parte delle persone fosse stata ricca quanto lui, non avrebbe previsto molte delle cose che migliorano la nostra vita, come l'elettricità, l'anestesia, gli antibiotici e i mezzi di trasporto moderni.
Le vite delle persone non sono migliorate solo grazie alla tecnologia, ma anche ai cambiamenti morali. Nel 1700 le donne non potevano frequentare l'università e il movimento femminista non esisteva[19]. Se il britannico benestante fosse stato gay non avrebbe potuto amare apertamente; la sodomia era punibile con la morte[20]. Alla fine del 1700, tre persone su quattro in tutto il mondo erano vittime di una qualche forma di lavoro forzato; oggi meno dell'1%[21]. Nel 1700 nessuno viveva in una democrazia, ora ci vive più di metà del mondo[22].
Molti dei progressi compiuti dal 1700 sarebbero stati molto difficili da prevedere per le persone vive a quei tempi. Questo con un intervallo di soli tre secoli; l'umanità potrebbe durare milioni di secoli solo sulla Terra. Su una portata tale, se basiamo il nostro senso del potenziale dell’umanità su una versione fissa del mondo di oggi rischiamo di sottovalutare drasticamente quanto potrebbe essere bella la vita in futuro.
Pensa agli attimi migliori della tua vita. Momenti di gioia, bellezza ed energia, come innamorarsi, raggiungere un traguardo a cui hai aspirato per tutta la vita o essere colto da un’ispirazione creativa. Questi momenti danno testimonianza di ciò che è possibile: sappiamo che la vita può essere almeno bella quanto durante questi eventi. Ma mostrano anche una direzione in cui le nostre vite potrebbero muoversi, raggiungendo un luogo ancora inesplorato. Se le mie giornate migliori possono essere centinaia di volte migliori della mia vita solitamente piacevole ma monotona, allora è possibile che le giornate migliori di coloro che vivranno in futuro siano centinaia di volte migliori ancora.
Non sto sostenendo che un futuro meraviglioso sia probabile. Etimologicamente, "utopia" vuol dire "non-luogo" ed effettivamente la strada da qui ad un qualche futuro ideale è molto fragile. Ma un futuro meraviglioso non è nemmeno una fantasticheria. Una parola migliore sarebbe "eutopia", che significa "buon posto", un qualcosa a cui aspirare. Un futuro che, con abbastanza pazienza e saggezza, i nostri discendenti potrebbero veramente costruire se noi aprissimo loro la strada.
E anche se il futuro potrebbe essere meraviglioso, potrebbe anche essere terribile. Per capirlo possiamo osservare alcune delle tendenze negative del passato e immaginare un futuro dove loro siano le forze dominanti che guidano il mondo. Come la schiavitù che era quasi scomparsa dalla Francia e dall'Inghilterra alla fine del XII secolo, ma nell’era coloniale quegli stessi Paesi sono diventati commercianti di schiavi su vasta scala[23]. Oppure come a metà del XX secolo sono emersi regimi totalitari anche all'interno delle democrazie. O che abbiamo usato il progresso scientifico per costruire armi nucleari e allevamenti intensivi.
Così come l'eutopia è una vera possibilità, anche la distopia lo è. Il futuro potrebbe essere quello in cui un unico regime totalitario controlla il mondo, in cui la qualità della vita è solo un lontano ricordo di un'antica età dell'oro o in cui una terza guerra mondiale ha portato alla completa distruzione della civiltà. E che il futuro sia meraviglioso o terribile dipende in parte da noi.
Non solo cambiamento climatico
Anche se sei d’accordo che il futuro è vasto e importante, potresti essere scettico che siamo davvero in grado di influenzarlo in modo positivo. Sono d'accordo che è molto difficile valutare gli effetti a lungo termine delle nostre azioni. Le considerazioni in gioco sono molte e stiamo solo cominciando a comprenderle. Il mio obiettivo con questo libro è quello di stimolare ulteriori ricerche su questo argomento, non di proporre risposte definitive sul da farsi. Ma il futuro è così importante che dobbiamo almeno impegnarci per capire come dirigerlo in una direzione positiva. Ci sono già alcune cose che possiamo menzionare.
Guardando al passato, non ci sono molti esempi di persone che hanno deliberatamente puntato ad avere impatti remoti, ma esistono. Alcune hanno avuto livelli di successo sorprendenti. Una fonte è rappresentata dai poeti. Shakespeare, nel sonetto 18 (“Dovrei paragonarti a un giorno d'estate?”) l’autore osserva che con la sua arte può preservare il giovane che ammira per l'eternità[24]:
Ma la tua estate eterna non appassirà mai, …
quando tu grandeggerai nel futuro in versi eterni.
Fin tanto che un uomo respiri o occhi vedano,
questi versi vivranno ed essi ti daranno vita.[25]
(Traduzione da: I sonetti. William Shakespeare, Piero Rebora, Editore Sansoni, 1941.)
Il sonetto 18 fu scritto negli anni 1590, ma riecheggia una tradizione che risale a molto prima[26]. Nel 23 a.C. il poeta romano Orazio iniziò l’ultimo poema delle sue Odi con questi versi[27]:
Ho innalzato un monumento più duraturo del bronzo e più elevato della struttura regale delle piramidi, che né la pioggia corrosiva né l’Aquilone prepotente possono distruggere, né l’innumerevole serie degli anni, né la fuga del tempo.
Non morirò del tutto e buona parte di me sfuggirà a Libitina, Dea della morte.[28]
Certo, queste affermazioni sembrano a dir poco ampollose. Eppure, plausibilmente, i tentativi di questi poeti di rendersi immortali sono riusciti. Sono sopravvissuti per molti secoli e stanno anzi continuando ad avere successo nel tempo. Più persone leggono Shakespeare oggi che ai suoi tempi e lo stesso vale probabilmente per Orazio. E finché un qualche membro di ciascuna generazione futura sarà disposto a pagare il piccolo costo di conservare o riprodurre queste poesie in qualche forma, esse permarranno per sempre.
Anche altri scrittori hanno puntato con successo ad un impatto a lungo termine. Tucidide scrisse la sua storiografia La Guerra del Peloponneso nel V secolo a.C.[29] Molti lo considerano il primo storico occidentale a cercare di descrivere gli eventi fedelmente e ad analizzarne le cause.[30] Credeva di descrivere verità universali e progettò volutamente la sua storiografia in modo che potesse avere un’influenza anche nel futuro:
Per me tuttavia basterà che queste parole siano utili a chi desidera comprendere gli eventi che si sono verificati in passato e che si ripeteranno (essendo la natura umana quello che è) in un modo o nell’altro in futuro. La mia opera non è scritta per soddisfare i gusti di un pubblico corrente, ma per durare per sempre.[31]
Tucidide ha un'enorme influenza ancora oggi. La sua opera è sul programma obbligatorio delle accademie militari statunitensi di West Point, Annapolis e presso il National War College[32]. Il libro di successo Destinati alla guerra (Destined for War), pubblicato nel 2017 dal politologo Graham Allison, ha il sottotitolo Possono l’America e la Cina sfuggire alla trappola di Tucidide? Allison analizza le relazioni tra Stati Uniti e Cina negli stessi termini usati da Tucidide per Sparta e Atene. Per quanto ne so, Tucidide è la prima persona nella storia ad aver volutamente cercato di ottenere un impatto a lungo termine e ad esserci riuscito.
Esempi più recenti vengono dai Padri fondatori degli Stati Uniti. La Costituzione degli Stati Uniti ha quasi 250 anni ed è rimasta per lo più invariata. La sua creazione era di enorme importanza per il futuro e molti dei Padri fondatori ne erano ben consapevoli. John Adams, il secondo presidente degli Stati Uniti, commentò: “Le istituzioni che ora vengono create in America non si sfalderanno del tutto per migliaia di anni. È perciò di importanza ultima che ricevano la giusta partenza. Se partono con il piede sbagliato, non saranno mai in grado di tornare, se non per caso, sulla strada giusta”[33].
Un altro esempio è quello di Benjamin Franklin, che era così famoso per il suo fervente parere che gli Stati Uniti avrebbero mantenuto la loro integrità per lungo tempo da indurre un matematico francese a scrivere una satira amichevole su di lui nel 1874. Suggerì che per dimostrare la certezza delle sue convinzioni, Franklin avrebbe dovuto investire il suo denaro e, secoli più tardi, usufruire del ricavato dall'interesse composto per finanziare progetti di utilità sociale[34]. Franklin la ritenne un’idea geniale e nel 1790 investì 1’000 sterline (circa 135’000 dollari di oggi) a testa per le città di Boston e Filadelfia: tre quarti dei fondi sarebbero stati erogati dopo cento anni e il resto dopo duecento anni. Nel 1990, quando furono erogati i fondi finali, la donazione aveva raggiunto quasi 5 milioni di dollari per Boston e 2,3 milioni di dollari per Filadelfia[35].
Gli stessi Padri fondatori furono influenzati da idee sviluppate quasi duemila anni prima di loro. I loro pareri sulla separazione dei poteri erano stati anticipati da Locke e Montesquieu, i quali si rifacevano all'analisi di Polibio del governo romano del II secolo a.C.[36] Sappiamo anche che diversi Padri fondatori conoscevano l'opera di Polibio[37].
Noi oggi non abbiamo bisogno di avere tanta fama quanto Tucidide o Polibio per influenzare il futuro remoto. Anzi, lo facciamo giorno dopo giorno. Guidiamo. Facciamo viaggi aerei. Emettiamo quindi gas serra con effetti estremamente durevoli. I processi naturali riporteranno i livelli di anidride carbonica a quelli preindustriali solo dopo centinaia di migliaia di anni[38]. Di solito sono questi i lassi di tempo che prendiamo in considerazione per le scorie radioattive[39], ma mentre progettiamo come contenere e smaltire queste, siamo contenti di imbrattare l’aria di combustibili fossili[40].
In certi casi, l’impatto geofisico di questo riscaldamento diventa ancora più estremo nel corso del tempo invece di essere "spazzato via"[41]. Il gruppo intergovernativo sul cambiamento climatico (IPCC) prevede che entro la fine del secolo, stando allo scenario delle emissioni medio-basse (oggi spesso considerato il più probabile) il livello del mare aumenterebbe di circa 0,75 metri[42]. Ma continuerebbe a innalzarsi ben oltre il 2100. Dopo diecimila anni, il livello del mare sarebbe previsto superare quello attuale dai dieci ai venti metri[43]. Hanoi, Shanghai, Calcutta, Tokyo e New York sarebbero in gran parte sotto il livello del mare[44].
Il cambiamento climatico dimostra come le azioni di oggi possono avere conseguenze di lunga durata. Ma evidenzia anche che le azioni orientate a proteggere il futuro remoto non devono per forza ignorare gli interessi di chi vive oggi. Possiamo avvantaggiare il futuro mentre miglioriamo il presente.
La transizione verso l'energia pulita offre enormi vantaggi alla salute di chi vive ora. Bruciare combustibili fossili inquina l'aria con particelle microscopiche che causano cancro ai polmoni, malattie cardiovascolari e infezioni respiratorie[45]. Ogni anno, di conseguenza, circa 3,6 milioni di persone muoiono prematuramente[46]. Anche nell'Unione Europea, che in confronto al resto del mondo è poco inquinata, il cittadino medio perde un intero anno di vita per via dell'inquinamento da combustibili fossili[47].
La decarbonizzazione (ossia la sostituzione dei combustibili fossili con fonti di energia più pulite) porta quindi vasti e immediati benefici per la salute, oltre agli effetti sul clima futuro. Considerando esclusivamente l’inquinamento atmosferico, si giustifica la rapida decarbonizzazione dell’economia mondiale già solo in base ai benefici per la salute[48].
La decarbonizzazione è quindi un vantaggio per tutti, in quanto migliora la vita sia adesso che in futuro. Inoltre, promuovere l’innovazione sulle energie pulite - come il solare, l'eolico, il nucleare di nuova generazione e i combustibili alternativi - è promettente anche su altri fronti. Abbassando il costo dell’energia, l'innovazione nel campo dell’energia pulita migliora il tenore di vita dei Paesi più poveri. Contribuendo a far sì che lasciamo i combustibili fossili nel sottosuolo, ci protegge dal rischio di un collasso da cui non possiamo riprenderci, di cui parlerò nel Capitolo 6. Promuovendo il progresso tecnologico, riduce il rischio di stagnazione a lungo termine, di cui parlerò nel Capitolo 7. È dunque vantaggiosa su molteplici fronti.
La decarbonizzazione è un concetto chiave per dimostrare che il lungoterminismo sia utile e praticabile. Il bisogno di innovare sulle energie pulite è un esempio talmente robusto e che richiede ancora molta applicazione che lo considero un'asticella per il lungoterminismo, rispetto alla quale confrontare altre possibili iniziative. Ci fa puntare in alto.
Non è, però, l’unica opzione per influenzare il futuro. Il resto di questo libro cerca di trattare sistematicamente i modi in cui possiamo influire positivamente sul futuro, sostenendo che il cambiamento etico e morale, la gestione saggia dell’ascesa dell’intelligenza artificiale, la prevenzione di pandemie sintetiche ed evitare la stagnazione tecnologica sono cause almeno altrettanto importanti e spesso radicalmente più trascurate.
Il nostro momento storico
L'idea che possiamo influenzare il futuro a lungo termine e che la posta in gioco sia così alta potrebbe sembrare troppo assurda o inverosimile per essere vera. All’inizio era così che la pensavo[49].
Ma credo che “l’assurdità” del lungoterminismo non derivi dalle premesse morali che lo sottendono, ma dal fatto che viviamo in un’epoca decisamente insolita[50].
Viviamo in un’epoca testimone a una quantità straordinaria di cambiamenti. Per rendercene conto possiamo considerare il tasso di crescita economica globale, che negli ultimi decenni si è attestato in media intorno al 3% all'anno[51]. Si tratta di un dato storicamente senza precedenti. Per i primi 290’000 anni di esistenza dell'umanità, la crescita globale è stata vicina allo 0% all'anno; nell’era agricola è aumentata a circa lo 0,1%, per poi accelerare a partire dalla rivoluzione industriale. È solo negli ultimi cento anni che l'economia mondiale è cresciuta a un tasso superiore al 2% annuo. In altre parole, dal 10’000 a.C., l'economia mondiale ha impiegato svariate centinaia di anni per raddoppiare di dimensione. Il raddoppio più recente è avvenuto in soli diciannove anni[52]. E non sono solo i tassi di crescita economica ad essere un’anomalia storica; lo stesso vale per i tassi di utilizzo dell'energia, le emissioni di anidride carbonica, i cambiamenti nell'uso del suolo, il progresso scientifico e, si potrebbe sostenere, anche il cambiamento morale[53].
Abbiamo quindi preso atto che l'epoca attuale sia estremamente insolita rispetto al passato. Ma è anche insolita rispetto al futuro. Questo ritmo di cambiamento sostenuto non può protrarsi per sempre, anche se in un futuro dissociassimo la crescita economica dall’aumento delle emissioni di carbonio o colonizzassimo la galassia. A dimostrazione, supponiamo che la crescita in futuro rallenti leggermente, fermandosi al 2% annuale[54]. A un tale ritmo, tra diecimila anni l'economia mondiale sarebbe 10^86 volte più grande di quella attuale - cioè produrremmo centomila miliardi di miliardi di miliardi di miliardi di miliardi di miliardi di miliardi di miliardi di miliardi di volte di più. Ma ci sono meno di 10^67 atomi nel raggio di diecimila anni luce dalla Terra[55]. Quindi se gli attuali tassi di crescita continuassero anche solo per altri dieci millenni, dovremmo produrre dieci miliardi di miliardi (10^19) di volte l’economia di oggi per ogni atomo che, in principio, siamo in grado di raggiungere. Anche se ovviamente non possiamo esserne certi, non sembra fattibile[56].
L'umanità potrebbe durare ancora per milioni o addirittura miliardi di anni, ma questo tasso di cambiamento solo qualche migliaio di anni. Ciò significa che stiamo vivendo un capitolo della storia dell'umanità straordinario. Sia rispetto al passato che al futuro, ogni decennio delle nostre vite assiste ad una quantità di cambiamenti economici e tecnologici assolutamente inconsueta. Alcuni di questi cambiamenti, come la scoperta della produzione di energia da combustibili fossili, delle armi nucleari, dei patogeni sintetici e dell'intelligenza artificiale avanzata, hanno il potenziale di influenzare l'intero corso del futuro.
Non è solo il tasso di cambiamento a rendere questo un periodo insolito. Siamo anche straordinariamente connessi[57]. Per oltre cinquantamila anni abbiamo vissuto in gruppi separati; non c'era alcun metodo di comunicazione tra persone in Africa, Europa, Asia e Australia[58]. L'Impero romano e la dinastia Han hanno contribuito fino al 30% della popolazione mondiale tra il 100 a.C. e il 150 d.C. ciascuno, eppure a malapena sapevano dell’esistenza l’uno dell’altro[59]. Persino all’interno dello stesso impero un individuo aveva capacità di comunicazione con persone molto lontane estremamente limitate.
Se in futuro ci diffonderemo per gli astri, saremo nuovamente sconnessi. La galassia è come un arcipelago, vaste distese di vuoto costellate da piccole punte di calore. Se la Via Lattea fosse grande come la Terra, il nostro sistema solare sarebbe largo dieci centimetri e saremmo distanti centinaia di metri dai nostri vicini. Ci vorrebbero centomila anni come minimo per comunicare tra un capo e l'altro della galassia; persino comunicare “andata e ritorno” tra noi e il nostro vicino più prossimo richiederebbe quasi nove anni[60].
Anzi, se l'umanità si diffondesse sufficientemente lontano e sopravvivesse abbastanza a lungo, ad un certo punto una parte della civiltà smetterebbe di poter comunicare con il resto. L’universo è composto da milioni di gruppi di galassie[61]. Il nostro si chiama semplicemente Gruppo Locale. Le galassie dello stesso un gruppo sono abbastanza ravvicinate e la gravità le terrà insieme per sempre[62]. Ma, dato che l'universo è in espansione, i gruppi di galassie finiranno per essere separati l'uno dall'altro. Tra 150 miliardi di anni, nemmeno la luce sarà in grado di viaggiare da un gruppo all'altro[63].
In virtù dell’eccezionalità dei nostri tempi, ci è particolarmente possibile fare la differenza con le nostre azioni. Poche delle persone che mai nasceranno avranno tanta capacità di influenzare positivamente il futuro quanto noi. Cambiamenti tecnologici, sociali e ambientali così rapidi ci danno l’opportunità di influenzare i modi e i tempi dell’apice di questi cambiamenti. Potremmo anche influenzarli attraverso tecnologie che potrebbero mettere a rischio la nostra sopravvivenza o imprimere certi valori o principi negativi. L’attuale prossimità delle civiltà fa sì che piccoli gruppi abbiano il potere di influenzare l’intera società. Le nuove idee non sono confinate in un solo continente e possono diffondersi in tutto il mondo in pochi minuti anziché impiegando secoli.
Il fatto che questi cambiamenti siano così recenti significa, inoltre, che siamo in bilico. La società non si è ancora stabilizzata in uno stato di equilibrio, quindi noi possiamo determinare quale sarà il suo stato di equilibrio finale. Immagina una grande sfera che sta rotolando velocemente sopra ad un terreno accidentato. Con il passare del tempo perderà slancio e rallenterà, fermandosi sul fondo di una valle o di un abisso. La civiltà è come questa palla: mentre è ancora in movimento, una piccola spinta può influenzare la direzione verso cui rotoliamo e il luogo in cui ci fermeremo.
- ^
Questo esempio è adattato da Ragioni e Persone (Reasons and Persons) di Derek Parfit (Parfit 1984, 315).
- ^
L’origine di questo proverbio è ignota anche se a volte è descritto come un proverbio dell’antica Cina o dell’antica Grecia.
- ^
Constitution of the Iroquois Nations, 1910.
- ^
Lyons 1980, 173.
- ^
Detto questo, potrebbero esserci ragioni simili ad un qualche tipo di relazione reciproca per curarsi delle generazioni future. Non beneficeremo forse delle azioni delle persone nel futuro, ma beneficiamo enormemente delle azioni di persone nel passato: mangiamo frutti di piante coltivate e selezionate nel corso di millenni; facciamo affidamento su nozioni di medicina che hanno raccolto per secoli; viviamo sotto legislature plasmate da riforme innumerevoli per cui hanno lottato. Forse, allora, questo ci dà motivo di ricambiare il favore e fare la nostra parte per le generazioni a venire.
- ^
Nel celebre soliloquio di Amleto “Essere, o non essere”, “paese ignoto” si riferisce all’oltretomba: “se non fosse il timore di qualche cosa al di là della tomba, di quel paese ignoto, da cui nessun viaggiatore ritorna, che turba la volontà, e fa preferirci i mali che abbiamo, piuttostochè affrontarne altri che ci sono sconosciuti?” (traduzione di Amleto di Carlo Rusconi, Milano, Sonzogno, 1901). Nell’appropriare e naturalizzare questa metafora per riferirmi al futuro seguo l’esempio del cancelliere Klingon Gorkon in Star Trek VI - Rotta verso l’ignoto (in inglese Undiscovered country come la citazione originale di Shakespeare).
- ^
Comuni stime spaziano da 2,5 milioni (Strait 2013, 42) a 2,8 milioni di anni (DiMaggio et al. 2015)
- ^
Özkan et al. 2002, 1797; Vigne 2011. Altro su internet sulla formazione delle prime città.
- ^
Barnosky et al. 2011, 3; Lawton and May 1995, 5; Ord 2020, pagine 83–85; Proença and Pereira 2013, 168.
- ^
Non voglio affermare fortemente che nessun animale non-umano possieda capacità di pensiero astratto o capacità di formulare piani a lungo termine o che nessuno utilizzi attrezzi. Ci sono molte testimonianze che diverse specie, in un certo senso, formulano piani con ore o persino giorni in anticipo (es. Clayton et al. 2003; W. A. Roberts 2012) ed è ben documentato che i primati creano e usano attrezzi (Brauer and Call 2015; Mulcahy and Call 2006). In generale i processi cognitivi animali sono argomento di ricerche empiriche in corso e di vivace dibattito filosofico.
- ^
Le stime del periodi per cui il sole continuerà a bruciare spaziano da 4,5 miliardi (Bertulani 2013) a 6,4 miliardi di anni (Sackmann et al. 1993), anche se 5 miliardi sembra la stima di massima più comune. Più di preciso questo è il tempo che precede l’esaurimento di tutto l’idrogeno nel nucleo del Sole, alchè il Sole comincerà a lasciare quella che gli astronomi chiamano la “sequenza principale” . Continuerà però a “bruciare” - ossia a produrre energia con la fusione di idrogeno ed elio, ma negli strati superiori anziché nel nucleo . Dopo che si sarà espansa come una gigante rossa per due o tre miliardi di anni, la fusione nucleare ricomincerà nel nucleo, questa volta fondendo elio con carbonio e ossigeno. Sarà solo dopo quest’ultimo flash dell’elio che il Sole smetterà di brillare del tutto tra circa otto miliardi di anni.
La stima per le formazioni stellari convenzionali viene da C. Adams and Laughlin 1997, 342.
Sono grato a Toby Ord per avermi reso consapevole di quanto a lungo alcune stelle continueranno a brillare. Anders Sandberg, nel suo prossimo libro Grand Futures (Grandi Futuri), osserva che su scale temporali ancora più lunghe, dopo la fine di queste stelle ci saranno fonti di energia più esotiche che potrebbero essere sfruttate, come i buchi neri. Questo potrebbe spingere la durata della vita della civiltà fino a più di un trilione (10^18) di anni.
- ^
Wolf e Toon (2015, 5792) stimano che “i limiti fisiologici del corpo umano significano che la Terra diventerà inabitabile per gli umani tra ~1,3 Gyr [1,3 miliardi di anni]”; Bloh (2008, 597) riporta una finestra un po’ più breve affermando che “l’aspettativa di sopravvivenza delle vite pluricellulari complesse e degli eucarioti si limitano rispettivamente a 0,8 Gyr e 1,3 Gyr dal giorno d’oggi”. Io utilizzo una stima più conservativa della finestra di abitabilità per gli umani, forse di cinquecento milioni di anni, perché c’è notevole incertezza sui tempi e sulla probabilità di eventi chiave (quali la morte delle piante per mancanza di anidride carbonica o un effetto serra galoppante che porti all’evaporazione degli oceani) e per via del dibattito aperto su quale di questi eventi sarà il fattore limitante per l’abitabilità umana (si veda Heath e Doyle [2009] per una panoramica delle considerazioni che influenzano l'abitabilità dei pianeti per diversi tipi di vita). Ulteriori informazioni su whatweowethefuture.com/notes.
- ^
- ^
Ci sono tra centro e quattrocento miliardi di stelle nella nostra galassia, la Via Lattea. Il numero di galassie raggiungibili è stato stimato a 4,3 da Armstrong e Sandberg (2013, 9) mentre Ord (2021, 27) afferma: “L'universo influenzabile contiene circa 20 miliardi di galassie con un totale di stelle (la cui massa media è metà quella solare) tra 10^21 e 10^23.”
- ^
Le mie statistiche sono per l’aspettativa di vita alla nascita (Roser, 2018). Dato che, nel primo Ottocento, circa il 43% dei bambini al mondo morivano prima di raggiungere i cinque anni di età, chi sopravviveva fino a quell’età poteva aspettarsi di vivere circa cinquant’anni. Nota bene anche che la migliore previsione per l’aspettativa di vita di una persona nata oggi non è necessariamente settantatré anni: la statistica che ho citato ignora possibili sviluppi futuri. Ad esempio, se ci fossero ulteriori progressi nella medicina e nella sanità allora un nato oggi dovrebbe aspettarsi di vivere per più di settantatré anni; se invece emergessero nuove malattie letali o una grande porzione del mondo fosse sterminata da una catastrofe di larga scala, un nato oggi dovrebbe aspettarsi di vivere meno di quanto suggerisce la sua speranza di vita alla nascita.
- ^
Si stima che nel 1820 l’83,9% della popolazione viveva con un reddito giornaliero che, corretto per l’inflazione e per differenze di prezzo tra vari paesi, poteva acquistare meno di un dollaro negli Stati Uniti nel 1985 (Bourguignon and Morrisson 2002, Table 1, 731, 733). Nel 2002, quando Bourguignon e Morrison pubblicarono il loro fondamentale articolo sulla storia della distribuzione del reddito mondiale, questa era la soglia di povertà della Banca Mondiale usata di consuetudine per definire la povertà estrema. Da allora la Banca Mondiale ha aggiornato la soglia di povertà mondiale ad un reddito giornaliero corrispondente a quanto $1,90 avrebbero comprato negli Stati Uniti nel 2011. Con questa nuova definizione, la Banca Mondiale riporta che la frazione della popolazione mondiale che vive in povertà assoluta è stata al di sotto del 10% dal 2016; tragicamente, la pandemia di COVID-19 ha interrotto la tendenza storica di diminuzione ogni anno, ma non la ha riportata sopra il 10% (World Bank 2020). Anche se c’è un dibattito su quanto la nuova e la vecchia soglia di povertà siano equivalenti, credo che sia innegabile la conclusione che la frazione di popolazione mondiale che vive in povertà estrema sia diminuita drasticamente. Questo non vuole negare che ci sia ancora molto da fare nella lotta contro la povertà; per esempio, più del 40% della popolazione mondiale vive ancora con meno di $5,50 al giorno (sempre corretti per l’inflazione e per differenze di prezzo rispetto agli Stati Uniti nel 2011).
- ^
Roser e Ortiz-Ospina 2016.
- ^
Our World in Data 2017a. Ulteriori informazioni su whatweowethefuture.com/notes.
- ^
Ci sono alcune voci di donne che hanno ricevuto titoli di studio o insegnato in università prima del 1700, ma solitamente le loro vite sono scarsamente documentate. Ulteriori informazioni su whatweowethefuture.com/notes.
- ^
“Per tutto il XVIII secolo e fino al 1861, qualsiasi atto omosessuale penetrativo commesso da un uomo era punibile con la morte” (Emsley et al. 2018).
- ^
“Alla fine del XVIII secolo ben oltre tre quarti di tutte le persone vive erano in sottomissione di qualche forma - non la cattività di uniformi carcerarie a strisce, ma di vari sistemi di schiavitù e servitudine” (Hochchild 2005, 2.) I numeri di oggi sono 40,3 milioni o circa lo 0,5% della popolazione mondiale, e comprendono sia il lavoro forzato che il matrimonio forzato.
- ^
Nonostante la tendenza generale di aumento delle libertà politiche e dell’autonomia individuale mi appare incontrovertibile, il numero esatto dipende dalla definizione di democrazia. Io ho preso la mia dalla pagine sulla democrazia di Our World In Data (Roser 2013a), che è basata sulla serie di dati comunemente usata Polity IV. Il suo indice di democrazia è una funzione composta, che coglie diversi aspetti del misurare “la presenza di istituzione e processi tramite i quali i cittadini possono esprimere le loro reali preferenze su politiche e leader alternativi” e “l’esistenza di vincoli istituzionali all’esercizio di potere dell’esecutivo”, ma esclude misure di libertà civili (Marhall et al. 2013, 14). La mia affermazione sul 1700 si basa sull’ipotesi che la situazione allora non poteva essere migliore che nel primo XIX secolo, quando Polity IV indica che meno dell’1% della popolazione mondiale viveva in una democrazia. Ho anche deciso di escludere dalla definizione di società quelle senza completa statualità (eg. cacciatori-raccoglitori), anche se alcune di loro avrebbero potuto avere elementi proto-democratici, come la partecipazione inclusiva nelle decisioni o dei contrappesi alle abilità dei leader di abusare il potere.
- ^
Gillingham 2014, Wyatt 2009. Durante la tratta atlantica degli schiavi l’Impero Britannico comprò più di tre milioni di persone in schiavitù in totale e la Francia né comprò più di un milione (Slave Voyages, 2018).
- ^
Si pensa generalmente che i sonetti 1-126 di Shakespeare siano rivolti a “un giovane ragazzo”, anche se questo resta un argomento di dibattito accademico come molti aspetti dell’opera di Shakespeare. Ulteriori informazioni su whatweowethefuture.com/notes.
- ^
Shakespeare 2002, 417.
- ^
Shakespeare “probabilmente stese una bozza della maggior parte dei suoi sonetti nel periodo 1591-95” (Kennedy 2007, 24). Kennedy cita Hieatt et al. (1991, 98) i quali, basandosi su un’analisi di parole rare che compaiono nell’opera di Shakespeare nel corso della sua carriera, sostengono specificamente la prima stesura di “molti” dei sonetti 1-60 avvenne tra il 1591 e il 1595.
- ^
- ^
Horace 2004, 216-217.
- ^
- ^
- ^
La citazione nella versione inglese di What We Owe The Future viene dalla traduzione di Rex Warner del 1954 pubblicata nell’edizione del 1972 della Penguin Books (Thucydides 1972). Ulteriori informazioni su whatweowethefuture.com/notes.
- ^
Bornstein 2015, 661; Holmes and Maurer 2016. Ulteriori informazioni su whatweowethefuture.com/notes.
- ^
J. Adams 1851, 298. Tra l’altro Adams cita un lungo passaggio di Tucidide nella stessa prefazione, inclusa parte del passaggio che ho citato prima.
- ^
Nella mia relazione della creazione del testamento di Franklin ho dato delle interpretazioni creative. Ulteriori informazioni su whatweowethefuture.com/notes.
- ^
Il lascito di Franklin è ben noto. La mia fonte per i valori riportati nel testo principale è l’epilogo di Isaacson (2003, 473-474). Ulteriori informazioni su whatweowethefuture.com/notes.
- ^
- ^
Lloyd 1998, Chapter 2.
- ^
Lord et al. 2016; Talento and Ganopolski 2021. Certo è possibile che in futuro rimuoveremo dell’anidride carbonica dall’atmosfera. Ma non dovremmo essere troppo sicuri che questo accadrà, certamente non alla luce dei rischi di collasso o stagnazione di cui discuterò nei capitoli 6 e 7. Parlo più dettagliatamente del rilievo dal punto di vista lungoterminista del bruciare combustibili fossili nel Capitolo 6.
- ^
Hamilton et al. 2012.
- ^
Il confronto della permanenza media nel tempo dell’anidride carbonica con quella del metano dimostra un altro limite della retorica corrente sul cambiamento climatico. Spesso si sostiene che il metano abbia trenta o perfino ottantatré volte l’effetto sul riscaldamento globale dell’anidride carbonica. Ma nell'ottica del lungoterminismo questi numeri sono fuorvianti. Il metano permane solo circa dodici anni nell’atmosfera (IPCC 2021a, Chapter 7, Table 7.15); in netto contrasto con l’anidride carbonica, che, come abbiamo visto, resta nell’atmosfera per centinaia di migliaia di anni.
L’opinione più popolare figura il metano fino a trenta volte più rilevante dell’anidride carbonica, ma questo si limita a considerare l’effetto del metano sulle temperature per i primi quarant’anni (in modo poco preciso, questo valore viene chiamato “potenziale di riscaldamento globale”). Se invece misuriamo l’effetto del metano sulle temperature tra cent’anni, l’effetto del metano è solo 7.5 volte quello dell’anidride carbonica (IPCC 2021a, Chapter 7, Table 7.15).
Sebbene la relativa importanza del metano rispetto all’anidride carbonica viene spesso presentata come un dato di fatto scientifico, in realtà la questione dipende da se prendiamo come misura i cambiamenti climatici nei prossimi decenni o a lungo termine (Allen 2015). Dato che le emissioni di anidride carbonica sono settanta volte quelle del metano, se l’obiettivo è il futuro remoto, è sull’anidride carbonica che dovremmo concentrare gli sforzi (H. Ritchie and Roser 2020a; Schiermeier 2020).
- ^
P.U. Clark et al. 2016.
- ^
IPCC 2021a, Figure SMP.8. Lo scenario a medio-basse emissioni viene chiamato RCP4.5 (Hausfather and Peters 2020; Liu and Raftery 2021; Rogelj et al. 2016)
- ^
Secondo le proiezioni di Clark et al. (2016, Figure 4a) in uno scenario di emissioni medio-basse il livello del mare aumenterebbe di venti metri. Secondo Van Breedam et al. (2020, Table 1) il livello del mare aumenterebbe di dieci metri nello scenario medio-basso.
- ^
P. U. Clark et al. 2016, Figure 6.
- ^
- ^
Our World in Data 2020a, sulla base di Lelieveld et al. 2019. Questo dato include solo le morti causate dall’inquinamento dell’aria all’aperto. Tra 1,6 milioni (Stanaway et al. 2018) e 3,8 milioni (WHO 2021) di altre morti premature all’anno sono causate dall’inquinamento dell’aria al chiuso, molte delle quali sono dovute alla mancanza di accesso ad elettricità e di metodi puliti per la cucina, il riscaldamento e l’illuminazione (H. Ritchie and Roser 2019). Più di 2,5 miliardi di persone possono cucinare solo bruciando carbone, cherosene, carbonella, legno, letami o scarti agricoli con processi inefficienti e pericolosi come il fuoco aperto (WHO 2021).
- ^
“In Europa, un eccesso di mortalità di 434.000 (intervallo di confidenza del 95% 355 000-509 000) per anno potrebbe essere evitato se non ci fossero le emissioni legate ai combustibili fossili. … L’aumento dell’aspettativa di vita media in Europa sarebbe di 1,2 anni (intervallo di confidenza del 95% 1.0-1.4 anni)” (Lelieveld, Klingmüller, Pozzer, Pöschl, et al. 2019, 1595). Un intervallo di confidenza del 95% indica un’intervallo per cui il vero valore si ritroverà all’interno dell’intervallo con una probabilità 95%, secondo il modello degli autori. Nota che gli autori usano degli spazi anziché dei punti per separare le migliaia - cioè “434 000” vuol dire quattrocento trentaquattro mila.
- ^
Risultato ottenuto da Sovronick et al. (2019, 1) che a seconda della qualità dell’aria e “di quanto valore dà la società ad una salute migliore, i livelli di mitigazione ottimali economicamente potrebbero essere coerenti con un obiettivo di 2°C o meno.” Markandya et al. (2018, e126) hanno riscontrato che "i benefici per la salute superano sostanzialmente il costo politico del raggiungimento dell'obiettivo [dei 2°C] per tutti gli scenari che abbiamo analizzato" e che "lo sforzo supplementare di cercare di perseguire l'obiettivo di 1,5°C invece di quello dei 2°C genererebbe un sostanziale beneficio netto in India (3,28-8,4 bilioni di dollari) e in Cina (0,27-2,31 bilioni di dollari), anche se questo risultato positivo non è stato riscontrato nelle altre regioni".
- ^
L’affermazione che viviamo in un periodo storico estremamente insolito solleva anche questioni filosofiche di grande portata, come ho trattato nel mio articolo “Are we living at the hinge of history?” (“Stiamo vivendo nel perno della storia?”) (per una bozza vedere MacAskill 2020, edizione formale prossimamente in arrivo). Tuttavia, c'è da notare che le argomentazioni nell’articolo vanno contro l’idea che viviamo nel momento più influente di sempre. Penso in ogni caso che vi siano ragioni molto robuste per credere che viviamo in un momento (“meramente”) estremamente influente.
- ^
Questo ragionamento e la sua impostazione seguono “This Can’t Go On” di Holden Karnofsky (2021b), che è sviluppato sulle spalle di un ragionamento di Robin Hanson (2009). Ulteriori discussioni su whatweowethefuture.com/notes.
- ^
Più precisamente, sto pensando al presente come un’era post-industriale iniziata 250 anni fa e che terminerà quando i tassi di crescita annua rallenteranno di nuovo sotto all’1 per cento annuo. Per i recenti tassi di crescita, vedi World Bank (2021e).
- ^
Per tutte le mie asserzioni sulla storia della crescita globale, vedi, ad esempio, DeLong (1998). Per una panoramica di altre fonti, che riportano numeri simili, vedi i dati di Roodman (2020a) e le fonti di Roser (2019). Nota bene che le mie affermazioni riguardano tassi di crescita medi sostenuti per diversi raddoppi; non possiamo ovviamente escludere che il tasso di crescita possa essere stato del 2% in un solo anno, ad esempio nel 200.000 a.C. (ma sappiamo che, se questo è successo, deve essere stata un'eccezione). Per un trattamento su brevi e intermittenti periodi di crescita superiore alla media nella storia, vedi Goldstone (2002), anche se le mie ricerche di base per il Capitolo 7 suggeriscono che alcuni esempi ivi contenuti sono controversi.
- ^
Utilizzo dell'energia: Our World in Data 2020f; emissioni di anidride carbonica: Ritchie e Roser 2020a; uso del suolo: Our World in Data 2019b. La quantificazione del progresso scientifico dipende da un giudizio personale, ma credo che pochi sarebbero in disaccordo con l'affermazione che il ritmo dell'innovazione tecnologica è aumentato rapidamente dopo la Rivoluzione scientifica del XVI secolo rispetto ai tempi pre-moderni.
- ^
In effetti questo è il numero che meglio riflette la crescita “alla frontiera della tecnologia”, cioè senza tenere conto della crescita “di recupero” transitoria dei paesi più poveri (Roser 2013b).
- ^
Karnofski 2021b, nn7-8.
- ^
Per un’ulteriore discussione su se sia possibile o meno, vedi Hanson 2009 e Karnofsky 2021c.
- ^
Ringrazio Carl Shulman per questo punto.
- ^
- ^
Scheidel (2021, 101-107) fornisce un riepilogo delle dimensioni della popolazione di diversi imperi antichi; la sua Tabella 2.2 (103) indica che la dinastia Han occidentale comprendeva il 32% della popolazione mondiale nell'1 d.C., mentre nel 150 d.C. il 30% viveva nell'Impero Romano. C'è tuttavia una notevole incertezza sulle dimensioni di popolazioni antiche; maggiori informazioni su whatweowe thefuture.com/notes. Lo storico Peter Bang (2009, 120) ha commentato che, anche al loro apice, l'Impero Han e quello Romano "rimasero nascosti l'uno all'altro in un regno crepuscolare di favole e miti".
- ^
Presupponendo che l’orbita del pianeta più esterno, Nettuno, sia il confine del Sistema solare. Ulteriori informazioni su whatweowethefuture.com/notes.
- ^
Ulteriori informazioni su whatweowethefuture.com/notes.
- ^
Ulteriori informazioni su whatweowethefuture.com/notes.
- ^
“In ultimo, lo spazio si espanderà così velocemente che la luce non potrà attraversare il golfo in continua espansione tra il nostro Gruppo Locale e il suo gruppo più vicino (le simulazioni suggeriscono che ci vorranno circa 150 miliardi di anni)” (Ord 2021, 7).
